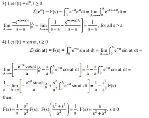
Mee Gorman Blog